小幫手好
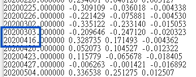
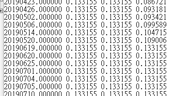
用下面的程式碼print資料出來,程式碼的寫法應該是只要有交易的日期就會有數值,但卻發現很多日期都消失了,還有數值是0的狀況,不管是在雷達模組還是交易模組,都有一樣的狀況,但雷達模組print出來的時間較短,看不到數值是0的那些日期
請小幫手協助,謝謝
value1=getsymbolfield("TSE.TW","上漲家數","D");
value2=getsymbolfield("TSE.TW","下跌家數","D");
if value1<>0 or value2<>0 then value3=value1/(value1+value2)-0.5;
value4=average(value3,5);
value5=average(value3,60);
if date<>date[1] and currenttime=090000 then print(date, value1[1],value2[1], value3[1], value4[1], value5[1]);
數值缺失


數值為0

1 評論